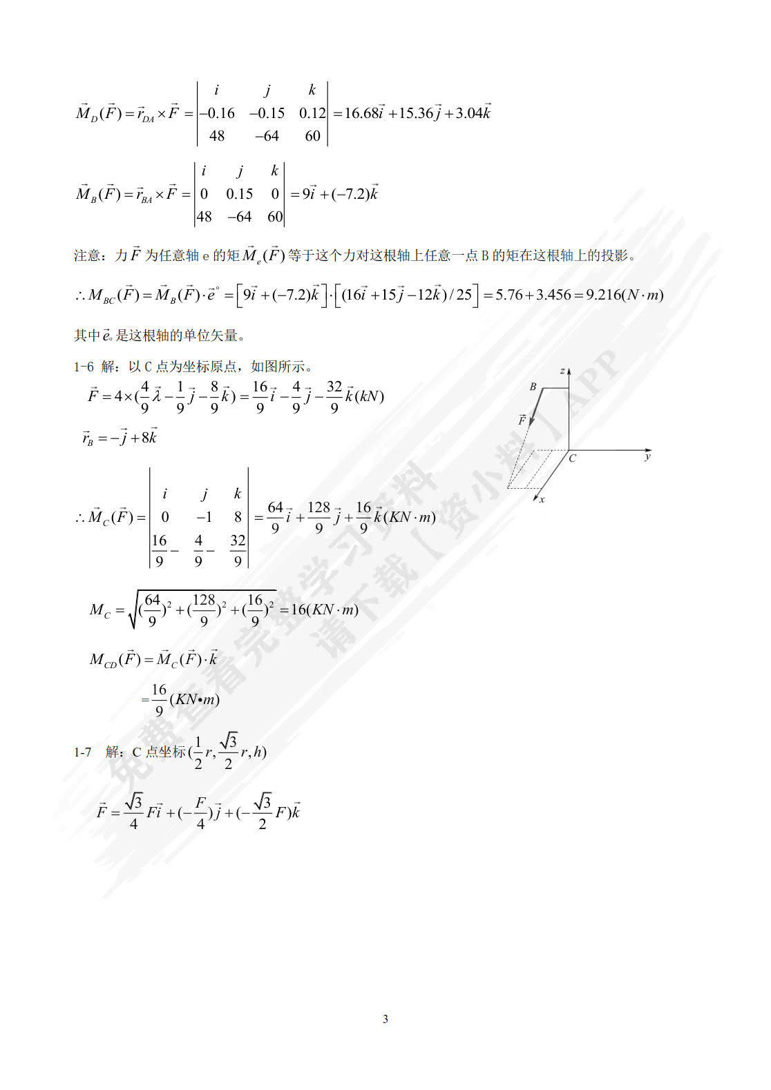
工程力学第二版冯维明, 主编课后习题答案解析

2024年10月21日 10:23
299浏览
工程力学第二版
工程力学第二版
主 编: 冯维明, 主编
ISBN: 9787563553143
出版社: 北京邮电大学出版社
上传者: ¿就这样吧
大家好,我是一名大学生,这学期我们开设了一门课程《工程力学》,这是我第一次接触这个领域。我翻阅了一些学习资料,发现这门课程既抽象又复杂,让我有点迷茫。我想在这里向大家寻求帮助,希望你们能分享一些学习经验,提供一些学习资料和学习方法,帮助我更好地理解和掌握这门课程。
首先,我想了解一下大家对《工程力学》大学教材的看法。据我所知,这门课程的教材有很多种,每一种都有不同的侧重点和讲解方式。你们觉得哪种教材更适合初学者,更适合自学?另外,有没有一些参考资料或者网络课程,可以帮助我更好地理解这门课程?
其次,我希望得到一些关于学习方法和学习经验的分享。我知道每个人的学习方法和学习习惯都不同,但是我相信总有一些通用的方法或者技巧可以帮助我更好地理解和掌握这门课程。你们在学习过程中有没有遇到过什么问题,你们是如何解决的?有没有什么学习技巧或者方法,可以帮助我更快地入门和提升?
详情资料
工程力学第二版
工程力学第二版
工程力学第二版
工程力学第二版
工程力学第二版
工程力学第二版
为了给您更好的查看体验,请下载资小料APP免费查看余下资料
更新于 2026年05月22日 17:32
本书资料由用户¿就这样吧上传,如有侵权请联系平台客服删除。
相似资料推荐