积分变换汪宏远、孙立伟课后习题答案解析

2023年12月23日 14:04
1,158浏览
积分变换
积分变换
主 编: 汪宏远、孙立伟
ISBN: 9787302480891
出版社: 清华大学出版社
上传者:      Grace
作为一名数学专业的大学生,我深感积分变换的重要性。最近,我开始研究《积分变换》这门课程。我发现,这是一门理论性很强的学科,需要掌握许多基本概念和公式。为了学好这门课程,我收集了一些学习资料和经验。
首先,我找到了一本非常实用的大学教材,名为《积分变换及其应用》。这本书涵盖了积分变换的基本理论和方法,以及它们在工程和科学领域的应用。我觉得这本书对于初学者来说非常友好,因为它详细解释了每一个概念,并配有大量的例题和习题。
在学习过程中,我发现了一些有效的学习方法。首先,我认为理解基本概念非常重要。只有理解了积分变换的基本概念,才能在解题过程中灵活运用。其次,我认为多做习题是非常有效的学习方法。通过做习题,我可以巩固所学知识,加深对概念的理解。最后,我推荐参加一些数学竞赛,这样可以锻炼自己的解题能力,同时也能检验自己的学习成果。
详情资料
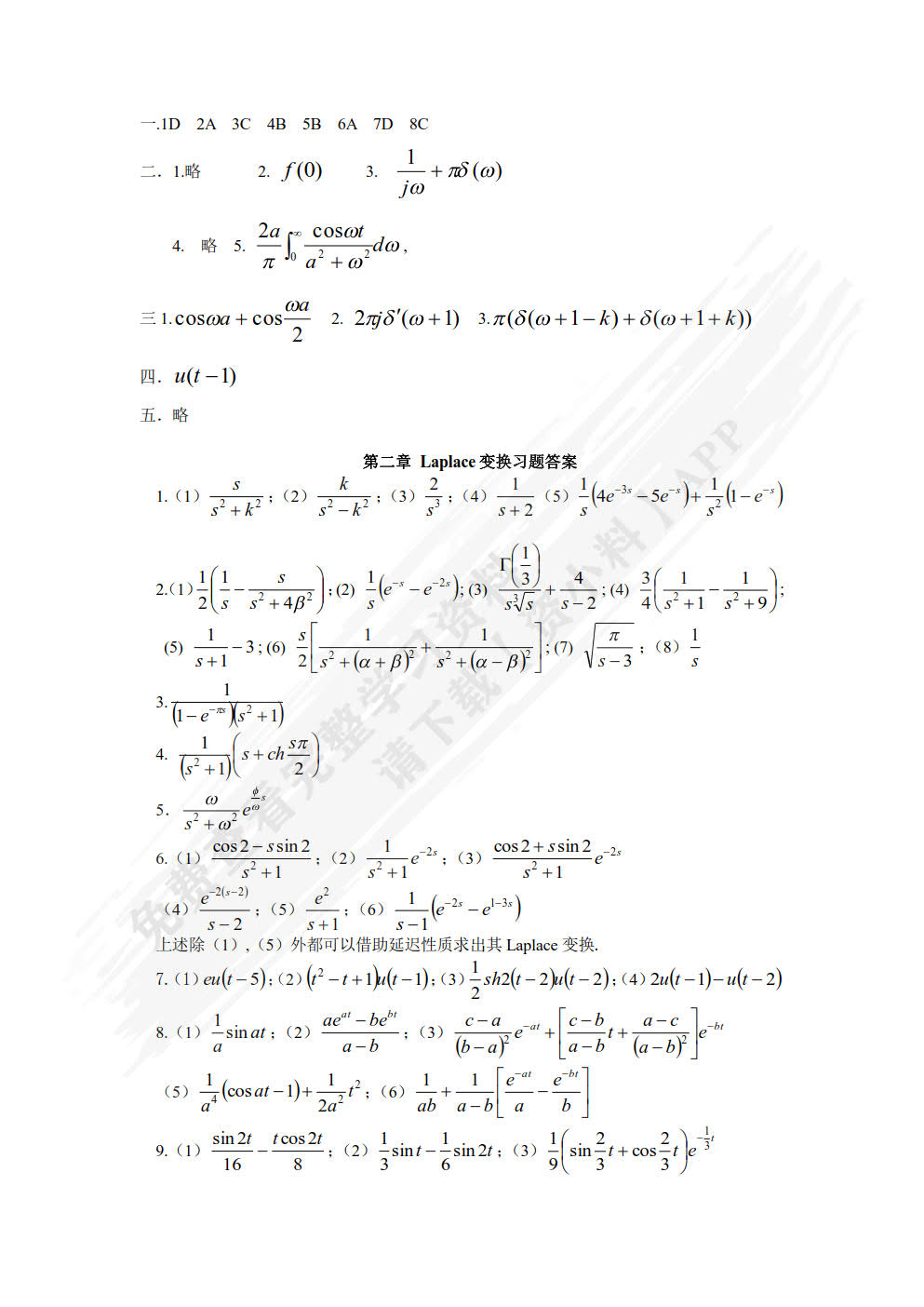
积分变换
积分变换
积分变换
积分变换
积分变换
积分变换
为了给您更好的查看体验,请下载资小料APP免费查看余下资料
更新于 2026年05月22日 17:32
本书资料由用户     Grace上传,如有侵权请联系平台客服删除。