随机信号分析高新波课后习题答案解析

2021年11月10日 17:36
363浏览
随机信号分析
随机信号分析
主 编: 高新波
ISBN: 9787030252043
出版社: 科学出版社
上传者: Mrs.right
在学习《随机信号分析》时,首先需要认真阅读教材,理解基本概念和理论。在此基础上,可以借助一些学习资料,如网络课程、辅导书等,帮助理解难点内容。此外,还可以参加一些学术活动和讨论,与其他同学和老师交流学习心得,拓宽视野。
在学习过程中,要注意理论联系实际。可以通过实验和案例分析,将所学知识应用于实际问题的解决。此外,还可以通过编程实现一些随机信号分析算法,提高自己的动手能力。
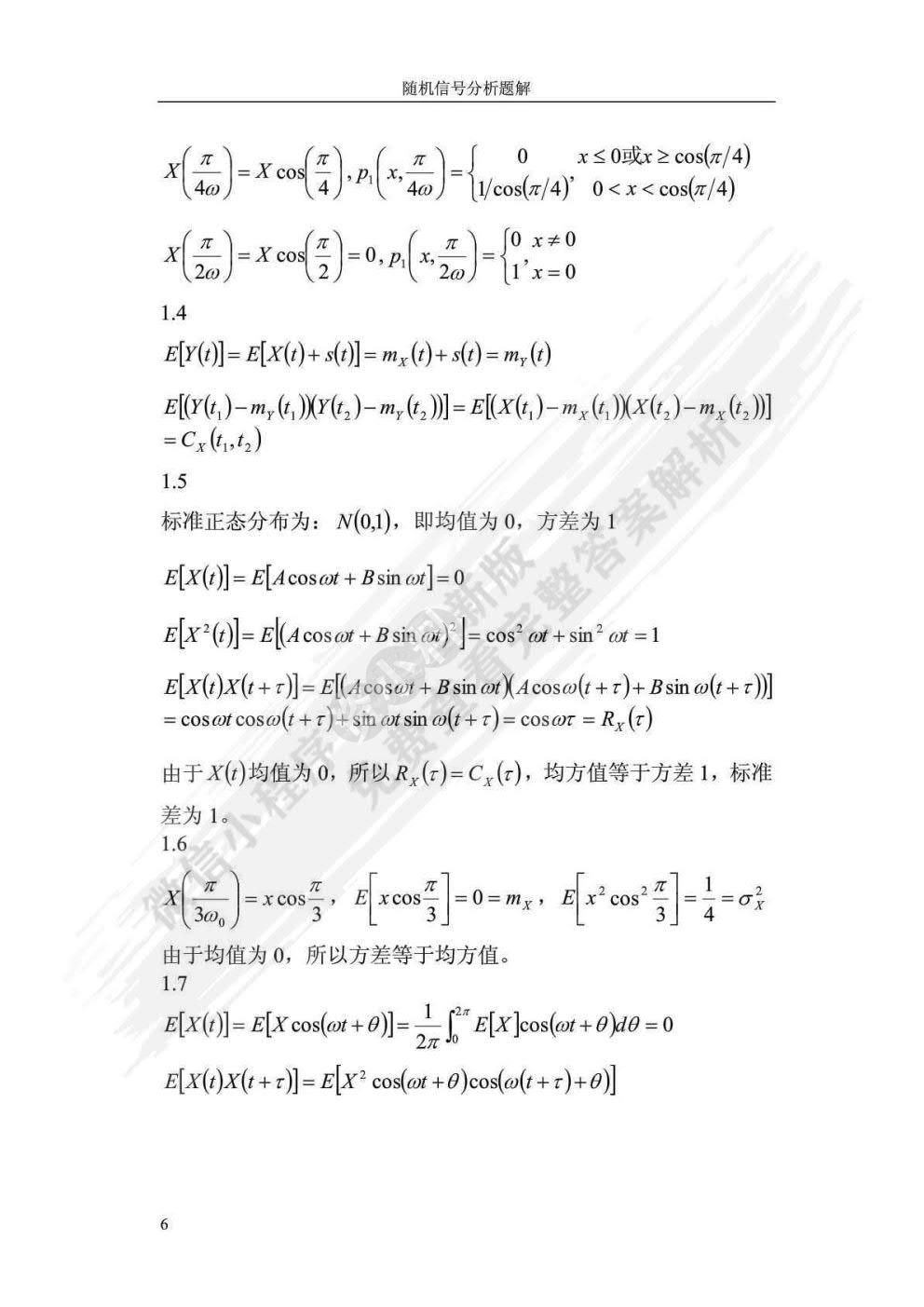
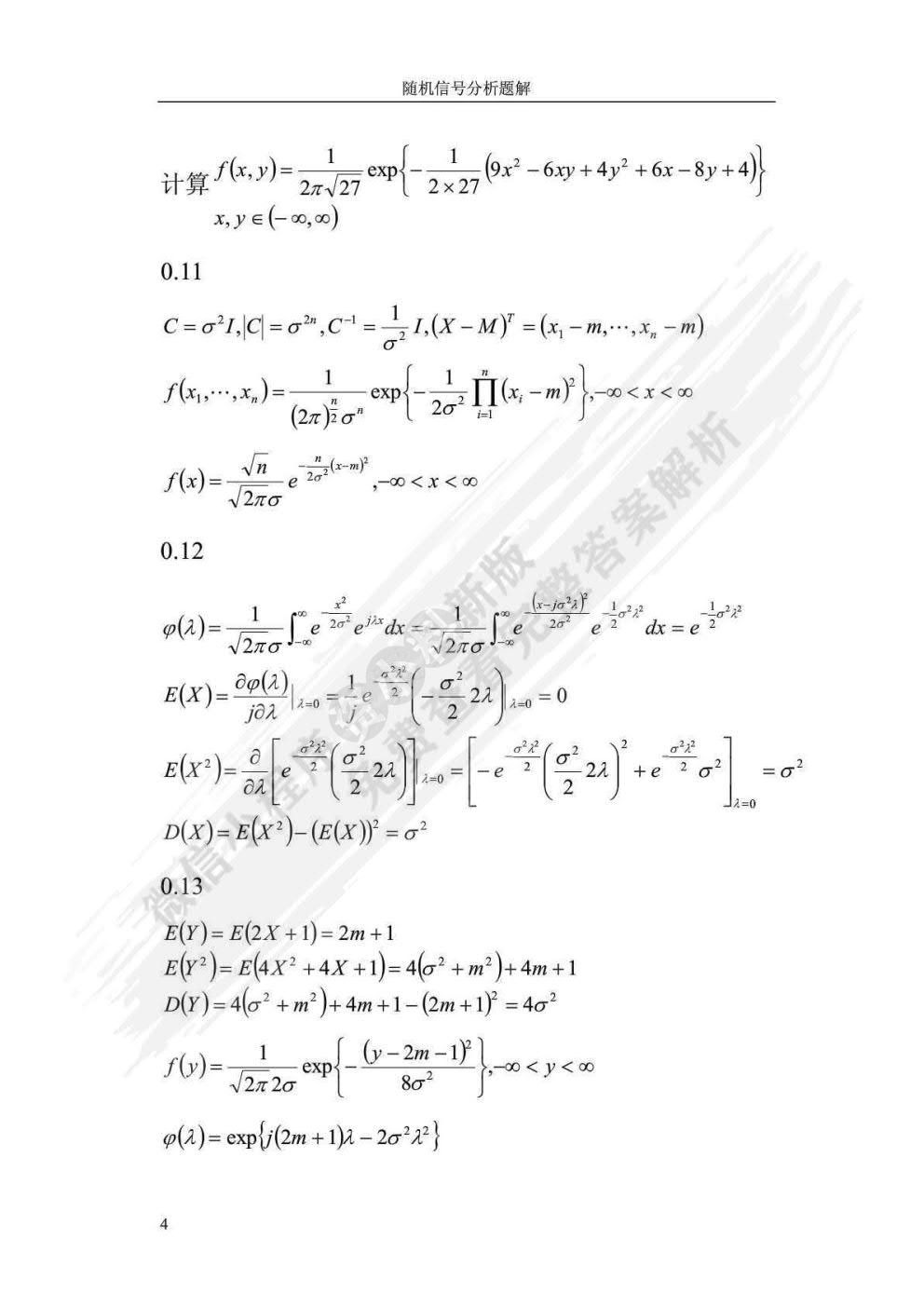
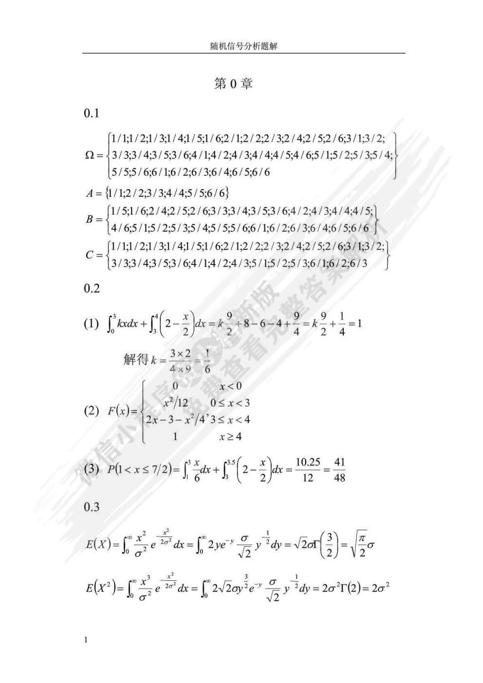
《随机信号分析》是大学电子信息工程、通信工程等专业的一门重要课程。本书主要内容包括随机信号的基本概念、随机信号通过线性系统、随机信号的功率谱密度、随机信号的通过非线性系统等。在学习过程中,需要掌握各种随机信号的性质、随机信号分析方法以及如何利用这些方法解决实际问题。
详情资料
随机信号分析
随机信号分析
随机信号分析
随机信号分析
随机信号分析
随机信号分析
为了给您更好的查看体验,请下载资小料APP免费查看余下资料
更新于 2026年05月22日 17:32
本书资料由用户Mrs.right上传,如有侵权请联系平台客服删除。